英文名稱:DSPE-PEG-DBCO(MW 1K,2K,3.4K,5K,10K)
分子式:(C2H4O)NC63H100N3O12P.H3N
分子量:
英文名稱:Poly(ethylene glycol) methyl ether acrylate
分子式:CHCo2(CH2CH2O)NCH3
分子量:1K,2K,5K,10k,20k
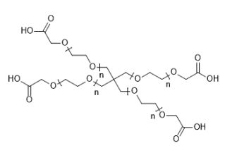
英文名稱:4ARM-PEG-COOH
分子式:C13H20O12(C2H4O)N(C2H4O)N(C2H4O)N(C2H4O)N
分子量:10K,20K,40K